1. 완전 탐색
1) 완전 탐색이란?
- 문제의 해법으로 생각할 수 있는 모든 경우의 수를 나열해보고 확인하는 기법
- Bruete-force 기법이라고 불린다.
- 상대적으로 빠른 시간에 문제 해결을 할 수 있다.
- 일반적으로 경우의 수가 상대적으로 작을 때 유용하다.
- 우선 완전 탐색으로 접근하여 해답을 도출한 후, 성능 개선을 위해 다른 알고리즘을 사용하고 해답을 확인하는 것이 바람직하다.
2. 순열, 조합
1) 순열(P)
- 순열이란 서로 다른 n개중에 r개를 선택하는 경우의 수를 의미합니다. (순서 상관 있음)
- nPn은 n!이다.
- 10!은 약 360만 (마지노선)

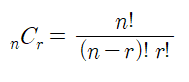
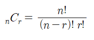
2) 조합(C)
- 조합이란 서로 다른 n개중에 r개를 선택하는 경우의 수를 의미합니다. (순서 상관 없음)

3) 순열, 조합의 재귀
package com.algo.day2;
import java.util.Arrays;
import java.util.Scanner;
public class 좋은아침 {
static int N, R;
static int[] nums, input;
static boolean[] isSelected;
public static void main(String[] args) {
Scanner sc = new Scanner(System.in);
N = sc.nextInt();
R = sc.nextInt();
isSelected = new boolean[N];
nums = new int[N]; // 수들을 담을 숫자
input = new int[R]; // 출력할 숫자 보관
for (int i = 0; i < N; i++) {
nums[i] = sc.nextInt();
}
중복조합(0, 0);
}
private static void 중복조합(int cnt, int start) {
if (cnt == R) {
System.out.println(Arrays.toString(input));
return;
}
for (int i = start; i < N; i++) {
input[cnt] = nums[i];
조합(cnt + 1, i);
}
}
private static void 조합(int cnt, int start) {
if (cnt == R) {
System.out.println(Arrays.toString(input));
return;
}
for (int i = start; i < N; i++) {
input[cnt] = nums[i];
조합(cnt + 1, i + 1);
}
}
private static void 중복순열(int cnt) {
if (cnt == R) {
System.out.println(Arrays.toString(input));
return;
}
for (int i = 0; i < N; i++) {
input[cnt] = nums[i];
순열(cnt + 1);
}
}
private static void 순열(int cnt) {
if (cnt == R) {
System.out.println(Arrays.toString(input));
return;
}
for (int i = 0; i < N; i++) {
if (isSelected[i])
continue;
input[cnt] = nums[i];
isSelected[i] = true;
순열(cnt + 1);
isSelected[i] = false;
}
}
}
'Algorithm > Study' 카테고리의 다른 글
| Tree, BFS (0) | 2024.02.06 |
|---|---|
| LinkedList (0) | 2024.02.05 |
| Stack, Queue (0) | 2024.02.04 |
| 부분집합, 비트연산, 바이너리 카운팅 (0) | 2024.02.01 |
| 알고리즘 / 재귀 (0) | 2024.01.29 |